American Flag Looking Up
With Jerry and Ron


Grow in Wisdom
 

Home

Wisdom

Biography

Newsletter

Politics

Blog

Religion

Economics

Society

Poetry and Hymns

Tours

Photos

Bibliography

Newsletter

Key to Biblical Doctrine

Worldwide AIDS Crisis

 

 

Website Developed
by
Dimen Websites.

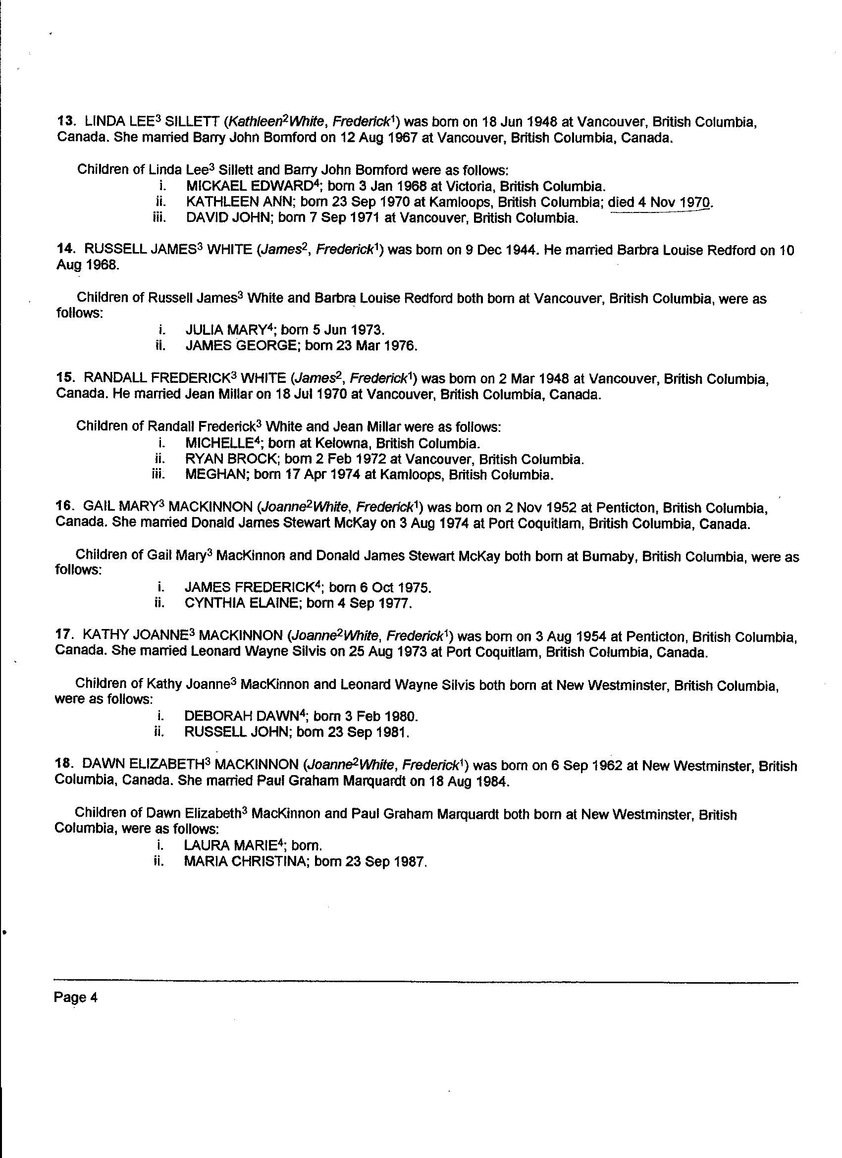
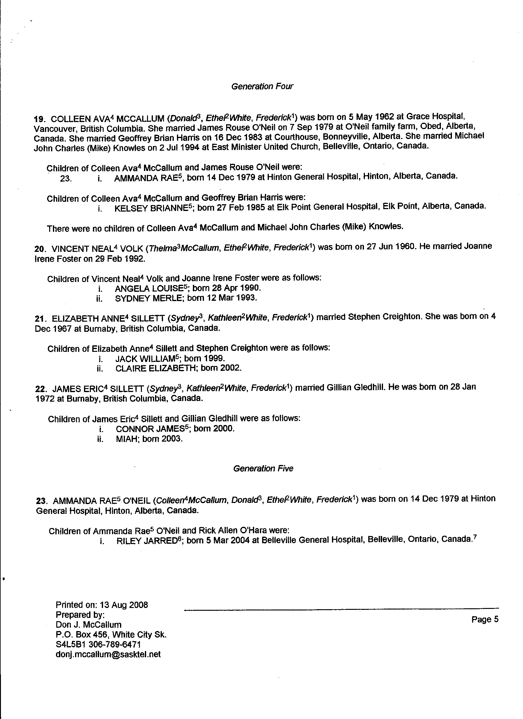
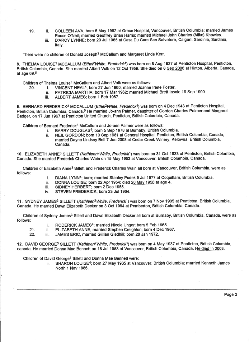
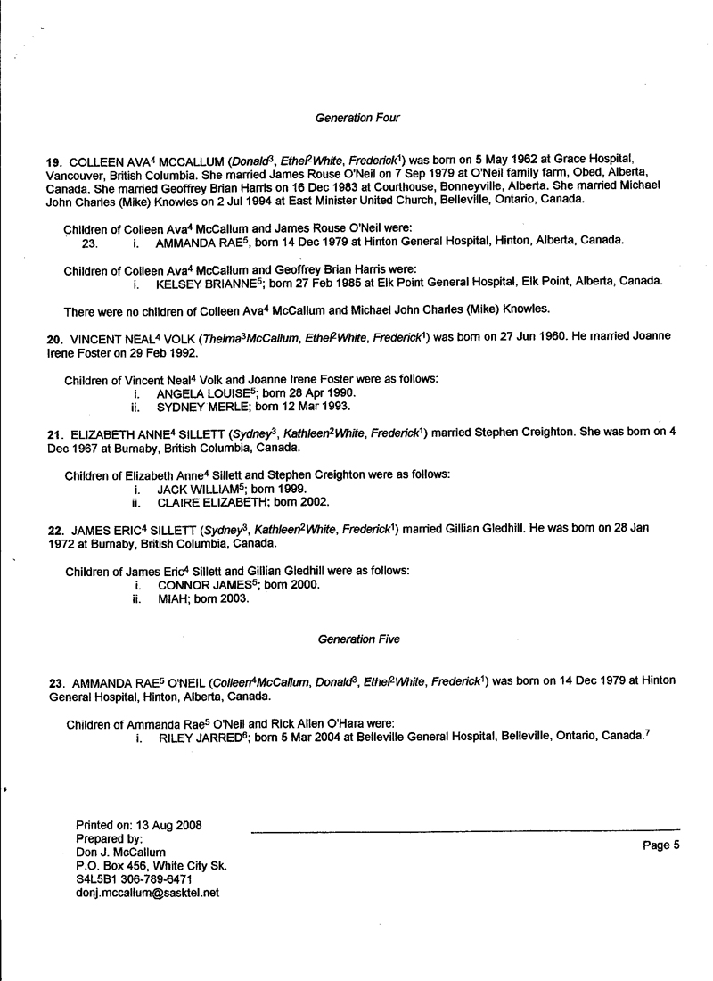
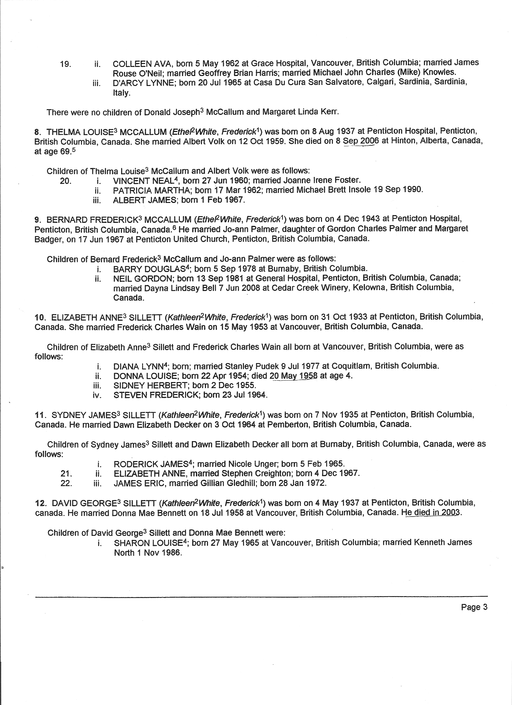
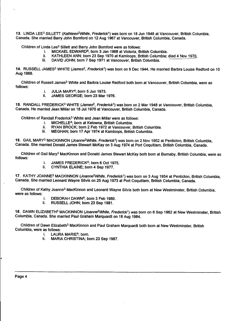
Descendants of Federick Bernard Tathwell White

Posted February, 2009
Prepared by Patsy Davis Ward

Click on each page to enlarge or download

Frederick White (page 1)
Frederick White (page 2)
Frederick White (page 3)
Frederick White (page 4)
Frederick White (page 5)